M THE DAILY INSIGHT
// general

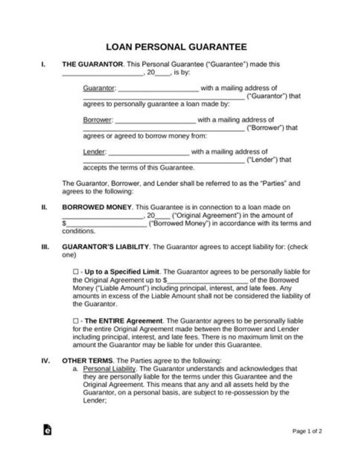
Is a personal guarantee a debt?

By Ethan Hayes

A directors personal guarantee for a business debt remains unsecured and does not become a secured debt because the company is entering liquidation. The only exception to this would be if the personal guarantee is supported with a charge on the company assets (a debenture), this would make the debt secured.

Do personal guarantees need to be notarized?

Yes, someone that is not a party to the guarantee should witness and sign the document. Most jurisdictions require that a notary public witness the execution of the guarantee.

How is liability determined under a personal guarantee?

Liability under the guarantee is determined by what is known as a “proper interpretation” of the contract of guarantee. Legal obligations of guarantors are interpreted from the standpoint of a commercial perspective of a reasonable person, knowing what the parties to the guarantee knew as at the date of the contract.

Can a director of a company personally guarantee a loan?

A director of a company might personally guarantee to the bankers of the company that all the loans of the company will be paid by the company. If the company defaults on payments or becomes insolvent, the bank can look to the director to repay the loans given to the company, on the strength of the director’s guarantee.

How is the discount basis of a bank calculated?

The bank discount basis, or bank discount rate, is calculated using the following formula: Bank discount rate = (Discount from par value / par value) * (360 / days to maturity) = ( (par value – purchase price) / par value) * (360 / days to maturity)

Why are personal guarantees important to a guarantor?

Personal guarantees are attractive to creditors when the guarantor has assets to cover the exposure of the creditor. Guarantees are a form of security of performance of a contract. The guarantor accepts liability to answer for the debt or obligation of another person.